III.4. Principiul III al dinamicii (acțiunii și reacțiunii).
Principiul III al dinamicii (acțiunii și reacțiunii) :
„Dacă un corp acționează asupra altui corp cu o forță numită acțiune (F1), atunci și cel de-al doilea corp va acționa asupra primului corp cu o altă forță numită reacțiune (F2), care are același modul și aceeași direcție cu acțiunea, dar sens opus“.
Ecuația vectorială este:

🔦 Observații importante:
-
Forțele acțiune și reacțiune sunt forțe pereche, care se aplică simultan (apar simultan și dispar simultan). Ele descriu o interacțiune reciprocă și nu o cauză și un efect.
-
Cele două forțe pereche se aplică la corpuri diferite, au puncte de aplicație diferite și acționează pe aceeași linie (linia care unește cele două corpuri).
👀 Experiment: Principiul acțiunii și reacțiunii.
Materiale necesare:
Două dinamometre, un suport.
Descrierea experimentului:
- Fixează un dinamometru de suport.
- Cu un alt dinamometru acționează asupra primului cu o forță F1.
- Ce forță indică dinamometrul fix ?

- Compară direcțiile și sensurile celor două forțe.
Cele două forțe au aceeași direcție, dar sens opus.
Concluzia experimentului:
Cele două forțe sunt egale în modul, cu aceeași direcție și sensuri opuse.
Exemple ale principiului III al dinamicii:
1. Conform principiului acțiunii și reacțiunii la interacțiunea unui corp cu Pământul avem două forțe pereche:
- Forța de greutate (G) este forța cu care Pământul atrage corpul.
- Forța G' este forța cu care corpul atrage Pământul.
Ecuația vectorială:


2. Asupra unui corp în repaus aflat pe o suprafață acționează două forțe pereche, conform principiului acțiunilor reciproce:
- Forța de apăsare normală (N') este forța cu care un corp acționează asupra unei suprafețe cu care este în contact.
- Reacțiunea normală (N) este forța cu care suprafața acționează asupra corpului aflat pe ea (atât în repaus, cât și în mișcare).
Ecuația vectorială:


Observații importante:
Modulul reacțiunii normale (care este forță pereche cu apăsarea normală) este egal cu modulul greutății corpului în două situații:
- Când corpul este în repaus pe o suprafață orizontală.
- Când corpul se mișcă pe o suprafață orizontală tras de o forță de tracțiune orizontală.
Modulul reacțiunii normale nu este egal cu modulul greutății corpului în următoarele două situații:
- Când corpul se deplasează pe o suprafață orizontală tras de o forță de tracțiune oblică.
- Când corpul urcă sau coboară pe un plan înclinat.
3. Asupra unui corp suspendat de un fir inextensibil (care nu se alungește) acționează două forțe pereche, conform principiului acțiunilor reciproce:
- Forța de apăsare a corpului (F) este forța cu care corpul acționează asupra firului.
- Tensiunea în fir (T) este forța cu care firul acționează asupra corpului suspendat pe el.
Ecuația vectorială:


4. Când un corp este suspendat de un resort avem două forțe pereche, conform principiului acțiunilor reciproce:
- Forța deformatoare (de apăsare a corpului), F, este forța cu care corpul acționează asupra resortului (ea este egală cu greutatea corpului).
- Forța elastică (Fe) este forța cu care resortul acționează asupra corpului suspendat pe el.
Ecuația vectorială:


🔓 Probleme rezolvate
1. Când stăm într-o barcă și tragem de o sfoară legată de un vapor, ne vom apropia cu barca de vapor. De ce nu se apropie vaporul de barcă ?
Rezolvare:
Când tragem de sfoară apar în aceasta două forțe pereche, acțiunea și reacțiunea, de tensiune în fir, care sunt egale în modul, dar de sens opus.
Accelerațiile imprimate sunt diferite, întrucât și masele celor două corpuri (barca și vaporul), care alcătuiesc un sistem prin intermediul sforii, sunt diferite.
Cum barca are masa mult mai mică decât vaporul, accelerația ei va fi mult mai mare decât cea a vaporului.
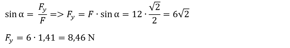
2. Un corp cu masa de 2 kg se deplasează pe un drum orizontal cu accelerația de 3 m/s2. El este tras de o forță ce face un unghi α = 60° cu orizontala.
Se cere:
a) Valoarea forței de tracțiune
b) Valoarea forței cu care planul orizontal acționează asupra corpului (normala)
Rezolvare:
Scriem datele problemei:
m = 2 kg
a = 3 m/s2
Ff = 0
α = 60°
Etalon: 1 cm reprezintă 2 N

a)
Se descompune forța de tracțiune după direcțiile Ox și Oy
Pentru a afla componenta Fx a forței F, aplicăm principiul fundamental al mecanicii
Fx = m • a = 3 • 2 = 6 N
Pentru a afla pe F (forța de tracțiune) aplicăm cos α în triunghiul forțelor

b)
Aflăm mai întâi componenta Fy a forței F

Apoi aflăm greutatea corpului
G = m ∙ g = 20 N
Cum corpul nu se mișcă pe verticală, aplicăm Principiul inerției care ne spune că rezultanta forțelor este 0 dacă viteza este 0.
G = Fy + N
N = G - Fy = 20 - 8,46 = 11,54 N